Črpalka za nevarne snovi Mast GUP 3 -1,5
Graf Mast GUP 3 -1,5
Črpalka za nevarne snovi Mast GUP 3 -1,5
Graf Mast GUP 3 -1,5
Graf Mast GUP 3 -1,5

Črpalka za nevarne snovi Mast GUP 3 -1,5

Šifra:
Črpalka za prečrpavanje agresivnih in vnetljivih tekočin Mast GUP 3 - 1,5

 

 

 
DODAJ NA SEZNAM POVPRAŠEVANJA

Črpalka Mast GUP 3 – 1,5

 

Uporabnost: 

- Črpalka se uporablja v nevarnostnih conah 1 in 2 za prečrpavanje agresivnih in vnetljivih tekočin znotraj odpornosti materiala (nerjaveče jeklo št. 1.4408 in št 1.4571) . Celotna črpalka izdelana v zaščitnem razredu EEx II 2G c IIB T3 after RL 94/4/EG (ATEX)

- temperatura črpanega medija do 40 °C

- prehod trdih delcev do 10 mm

- vgrajena ročna sesalna črpalka

 

 Tehnične lastnosti:

- 1,5 m napajalnega kabla (H 07 RN-F 5G1,5) z vtikačem EN CEE 16 A 5-polni EEx

- možnost suhega teka

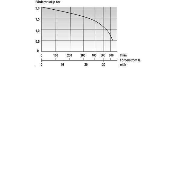
- max. pretok: 620 l/min

- moč motorja 400V- 3 kw

- teža 81 kg

- sesalna višina do 8,4 m

- vhodni in izhodni priključek navojna spojka DN 50 DIN 11851

 

Sorodni izdelki

    Piškotki za analitiko
    Ti se uporabljajo za beleženje analitike obsikanosti spletne strani in nam zagotavljajo podatke na podlagi katerih lahko zagotovimo boljšo uporabniško izkušnjo.
    Piškotki za družabna omrežja
    Piškotki potrebni za vtičnike za deljenje vsebin iz strani na socialna omrežja.
    Piškotki za komunikacijo na strani
    Piškotki omogočajo pirkaz, kontaktiranje in komunikacijo preko komunikacijskega vtičnika na strani.
    Piškotki za oglaševanje
    So namenjeni targetiranemu oglaševanju glede na pretekle uporabnikove aktvinosti na drugih straneh.
    Kaj so piškotki?
    Z obiskom in uporabo spletnega mesta soglašate z uporabo in beleženjem piškotkov.V redu Več o piškotkih